Hiilineutraalia geotermistä energiaa Muhos-muodostumasta
Muhos-muodostuman esiintymisalueella piilee huomattava, toistaiseksi vielä hyödyntämätön keskisyvän geotermisen energian potentiaali. Geologian tutkimuskeskus (GTK) arvioi geotermisen energian hyödyntämismahdollisuuksia Muhos-muodostuman laajalla esiintymisalueella ja yksityiskohtaisemmin Muhoksen Kirkkosaaressa, jonne kaavaillaan uutta asuinaluetta. Nykyaikaisilla geofysiikan tutkimus- ja mallinnusmenetelmillä voidaan osoittaa Muhos-muodostuman potentiaali ympäristöystävällisen energian lähteenä sekä ohjata eri syvyisten energiakaivojen sijoittaminen optimaalisiin paikkoihin.

Muhos-muodostuma tarjoaa houkuttelevat olosuhteet keskisyvälle geotermiselle energialle
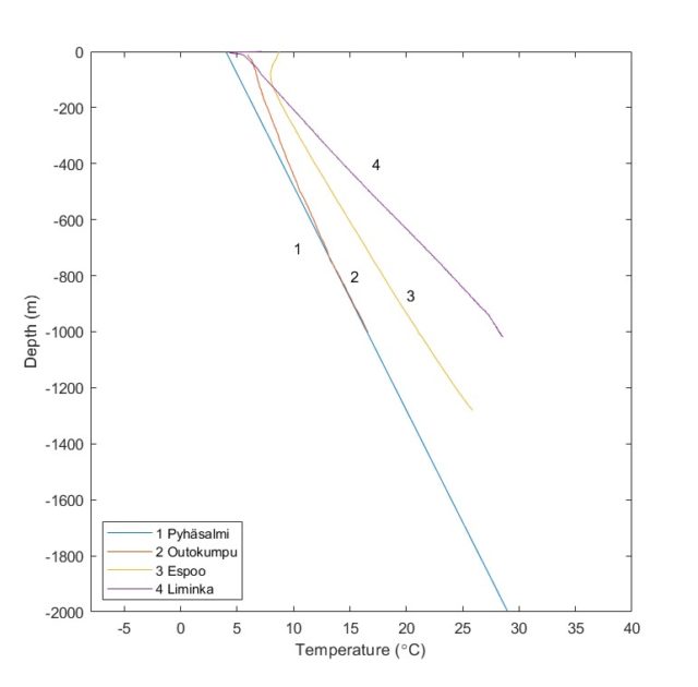
Muhos-muodostuma, tuo geologisesti mielenkiintoinen, laaja-alainen ja jopa kilometrin vahvuinen sedimenttikivimuodostuma tarjoaa houkuttelevat olosuhteet keskisyvän (n. 1–3 km) geotermisen energian hyödyntämiselle Oulun suunnalla. Geologian tutkimuskeskuksen geoenergiaryhmän tekemän selvityksen mukaan yksittäisen kaksi kilometriä syvän energiakaivon tuotto on parhaimmillaan yhtä lupaava kuin vastaavalta syvyydeltä eteläisen Suomen antoisimmalla rapakivialueella, jossa kallioperän olosuhteet, geoterminen lämpövuo ja kallion lämmönjohtavuus ovat muutoin suotuisammat.
Muhos-muodostuman alueella optimaaliseen kohtaan poratun kahden kilometrin pituisen energiakaivon jatkuva, 24/7 lämpöteho on noin 120 kW, mikä tarkoittaa vuosittaisessa energiamäärässä noin yhtä gigawattituntia. Yhden kilometrin pituisen energiakaivon jatkuva lämpöteho on parhaimmillaan 37 kW, mikä tarkoittaa vuosittaisessa energiamäärässä 324 megawattituntia. Sen sijaan perinteisen maalämmön, eli matalien (300 m) lämpökaivojen, tuotto on Muhos-muodostuman alueella pääosin heikompi muuhun Suomeen verrattuna. Yhden 300 metrin pituisen lämpökaivon vuosittainen tuotto Muhos-muodostuman eri osissa vaihtelee 12,8 ja 31,8 MWh:n välillä.

Pääosin savikivestä koostuva Muhos-muodostuma poikkeaa sitä ympäröivästä geologiasta fysikaalisten ominaisuuksiensa perusteella. Muodostuman sedimenttikivillä on yleisesti ottaen matalampi lämmönjohtavuus kuin kiteisen kallioperän kivilajeilla, mikä yhdessä paksujen maapeitteiden kanssa toimii eristävänä kantena syvemmältä maankuoresta kohti maapintaa johtuvalle lämmölle. Lämpötila kohoaa Muhos-muodostumassa voimakkaasti syvyyden kasvaessa ja muodostuman pohjalla lämpötila on korkeampi kuin vastaavilla syvyyksillä muualla Suomessa. Korkea maankamaran lämpötila tekee Muhos-muodostumasta houkuttelevan kohteen nimenomaan keskisyville energiakaivoille.

GTK selvitti geotermisen energian potentiaalia geologisin skenaariotarkasteluin
Muhoksen kunnan teettämästä selvityksestä laadittiin GTK:n tutkimustyöraportti Geotermisen energian hyödyntämismahdollisuuksien arviointi Muhos-muodostuman ja Muhoksen Kirkkosaaren alueilla. Matalien (300 m) ja keskisyvien (1 km ja 2 km) energiakaivojen lämpötehoa mallinnettiin numeerisesti erilaisissa geologisissa skenaarioissa huomioimalla maapeitteen paksuuden ja laadun sekä savikiven paksuuden vaikutus lämmönottoon liittyvien parametrien lisäksi. Skenaariotarkastelut tehtiin sekä Muhos-muodostuman esiintymisalueelle että kohdennetusti Muhoksen Kirkkosaareen, jonne kaavaillaan uutta asuinaluetta. Kirkkosaaren kiinteistöjen lämmitys voitaisiin kattaa tulevaisuudessa paikallisesti, monipuolisesti geotermistä energiaa hyödyntäen, jopa eri syvyyksiltä.
Skenaariotarkastelut osoittivat, että matalien lämpökaivojen kohdalla kannattaa kiinnittää erityistä huomiota porattavien kaivojen paikanvalintaan. Paksu maapeite heikentää merkittävästi yksittäisen lämpökaivon tuottoa. Sen sijaan kahden kilometrin pituisten energiakaivojen kohdalla parhaimpaan tuottoon päästään paikassa, jossa paksu savikivipatja lävistetään poraamalla lämpökaivo riittävän syvälle Muhos-muodostuman alla olevaan kiteiseen peruskallioon. Eräs varteenotettava kohde löytyy esimerkiksi Limingan Tupoksesta, jossa savikivi ulottuu 977 metrin syvyyteen.
Syvägeofysiikan menetelmät apuna maankamaran rakenteen selvittämisessä
Geofyysikot ja maastohenkilöstö tekivät Kirkkosaaressa sähkömagneettisia AMT-luotauksia (audiomagnetotelluurisia luotauksia) ja heijastusseismisiä tutkimuksia maankamaran rakenteen selvittämiseksi. Heijastusseismisissä tutkimuksissa vastaanottimina käytettiin uusia langattomia SmartSolo-geofoneja. Kirkkosaaressa tehty mittaus oli ensimmäinen SmartSolo-laitteilla toteutettu varsinainen tutkimustyö, ja langattomat vastaanottimet osoittautuivat helppokäyttöisiksi maasto-olosuhteissa.
Maapeitteen ja savikiven paksuudessa havaittiin huomattavia vaihteluja Kirkkosaaren eri osissa. Savikivipatja osoittautui kiilamaiseksi ja ulottui paksuimmillaan lähes puolen kilometrin syvyyteen saaren keskiosassa. Lisäksi savikivi voi olla pintaosastaan rapautunutta, ja Kirkkosaaren pohjoisosassa on mahdollinen ruhje. Nämä tekijät voivat vaikuttaa poraukseen, lisätä kaivon suojaputkituksen, huuhtelun ja lujituksen tarvetta sekä nostaa porauskustannuksia. Geofysikaalisten mittausten avulla saatuja tietoja käytettiin energiakaivojen lämmönsiirron tarkemmassa mallinnuksessa. Tavoitteena oli arvioida luotettavasti geotermisen energian tuotannon mahdollisuuksia Kirkkosaaren geologiassa. Olennaista oli myös selvittää, mihin eri syvyiset energiakaivot kannattaa sijoittaa Kirkkosaaren alueella.

Geologisella tiedolla ja mallinnuksella kohti ilmastoystävällisempää energiantuotantoa
Geologian tunteminen ja siihen perustuva energian saannon simulointi yhdessä nykyaikaista teknologiaa hyödyntävien syvägeofysiikan menetelmien kanssa tuovat ratkaisuja kohti ilmastoystävällisempää energiantuotantoa. Ne luovat hyvän pohjan geotermisen energian hyödyntämiselle. Käytössämme on vahva osaaminen ja työkalut geotermisen energian tuotannon ja teknologioiden edistämiseen myös pohjoisessa Suomessa.
Teksti
Annu Martinkauppi, Energia ja rakentamisen ratkaisut, annu.martinkauppi@gtk.fi
Lähde
Martinkauppi, A., Piipponen, K., Huusko, A., Heinonen, S. & Lahti, I. 2021. Geotermisen energian hyödyntämismahdollisuuksien arviointi Muhos-muodostuman ja Muhoksen Kirkkosaaren alueilla. Geologian tutkimuskeskus, Tutkimustyöraportti 46/2021. 47 s.

Hyvä Muhostiimi
Mielenkiintoinen juttu tuo Muhoksen geotermiikka. Kolme kysymystä:
1. Onko Muhosmuodostumasta saatu uusia ikiä vai onko usein mainittu ikä 1.3 Ga yhä voimassa?
2. Missä sijaitsevat Muhosmuodostuman kairasydämet….uudet? ja vanhat??
3. Onko Muhosmuodostuma missään paljastuneena (in-situ-tilassa kuitenkin)?
t. Lauri, ent. GTK:lainen
Tutkin aikanaan Muhoksen savikiven keraamisteknisiä ominaisuuksia; se olisi kelvollista raakaa-ainetta esim. tiiliteollisuudelle. Näytemateriaalia löytyi esim. siltapilareiden kairauspaikoista ja jonkin verran irtokivinä soraesiintymissä.
Silloisen tiedon mukaan paljastumia ei ollut ja maapeitteet olivat ohuimmillaankin n. 10 m paksuisia ( nuoria savia ).
Tutkimukseni on julkaistu sarjassa: Turun yliopiston julkaisuja, Sarja C, osa TOM. 68 ( toim. Veikko Lappalainen ja Heikki Papunen ).
Martti Romun huomio on “oikeilla jäljillä”. Voisin kuvitella että uusien tieleikkausten, rakennustyömaiden, ja vastaavien työkohteiden kohdalla saattaisi hiekka(savi-) kiven esiintymä olla paljastuneena.
Mutta enpä ole saanut vastauksia noihin muihinkaan kysymyksiin koskien Muhosmuodostumaa….paitsi Martti Romun vastaus.
Odottelen vastauksia. Muodostuman ikä nimittäin on globaalin geologian ja geofysiikan kannalta tärkeä: jos se on tuo 1.3 Ga.
t. Lauri Pesonen lauri.pesonen@helsinki.fi
Hei, kiitos mielenkiinnostanne Muhos-muodostumaa kohtaan.
Muodostuman iäksi on haarukoitu 1 400–1 200 miljoonaa vuotta. Radiometrisen iänmäärityksen mukaan ikä olisi n. 1300 Ma (Simonen, 1960) ja mikrofossiilitutkimuksen mukaan n. 1200 Ma (Tynni & Uutela, 1984). Muodostuman ikää on yritetty selvittää mm. geokemian, mikrofossiilitutkimusten ja sedimentologisen fasies-analyysin avulla. Solismaa (2008) selvitti pro gradu -tutkielmassaan Hailuodon ja Muhoksen muodostumien sedimentologiaa ja stratigrafiaa. Siira (2017) tutki väitöskirjatyössään mm. Lumijoen Muhos-muodostuman hiekka- ja savikivialueen järvialtaan kehityspiirteitä geokemian ja piilevätutkimusten avulla. Löytyisiköhän näistä tuoreemmista julkaisuista tietoa ikä -asiaan.
Muhos-muodostuma piilee paikoin hyvinkin paksujen maapeitteiden alla eikä kiviaineista ole juurikaan näkyvillä. Ainoa paikka, missä se on paljastuneena, on Lemmenpolku Muhoksella, Pyhäkosken voimalaitokselta n. 1,2 km alavirtaan. Siellä muodostumaa on paljastuneena Oulujoen vesirajassa soramaisena sedimenttikivenä, konglomeraattina, joka on välikerroksena savikiven ja graniittisen peruskallion kontaktissa.
Sedimenttikiven läpi on syväkairattu muutamissa kohdissa eri puolilla Muhos-muodostumaa. Havainnollinen kuva (kuva 8) kairauspaikoista löytyy esimerkiksi oheisesta julkaisusta https://tupa.gtk.fi/raportti/arkisto/k21_42_2009_56.pdf Nykytiedon valossa savikiveä on paksuimmillaan Limingan Tupoksessa (Tupos 001 edellä mainitun raportin kuvassa 8), jossa se ulottuu 977 m syvyyteen saakka. Kyseinen reikä avattiin uudelleen syksyllä 2020 ja siinä ollut tukos poistettiin. Reiän lämpötila luodattiin pohjalle saakka. Reiästä on tarkoitus tehdä myös pohjavesi- ja mikrobitutkimuksia sekä kaasunäytteenottoa. GTK on kairannut muissa yhteyksissä useammassakin kohtaa muodostuman alueella, joista osa päättyi kallioon (kalliovarmistus).